Abstract
BACKGROUND AND PURPOSE: Hemorrhagic transformation remains a potentially devastating complication of acute ischemic stroke. We aimed to evaluate whether the hypoperfusion intensity ratio, a parameter derived from CT perfusion imaging, is associated with the development of hemorrhagic transformation in patients with anterior large-artery occlusion who had undergone thrombectomy.
MATERIALS AND METHODS: We retrospectively reviewed data from patients with consecutive acute ischemic strokes who had achieved successful recanalization (Thrombolysis in Cerebral Infarction score ≥2b) between January 2020 and December 2023. HIR was defined as the ratio of the volume of lesions with a time-to-maximum (Tmax) >6 seconds to those with a Tmax >10 second delay. The primary outcome, based on the European Cooperative Acute Stroke Study, was hemorrhagic transformation, diagnosed by follow-up imaging assessment in 24-hour windows, and radiologically classified as hemorrhagic infarction and parenchymal hematoma. The secondary outcome was a 3-month mRS score of ≥3.
RESULTS: Among 168 patients, 35 of 168 developed hemorrhagic transformation; 14 of 168 developed hemorrhagic infarction, and 21 of 168 developed parenchymal hematoma PH. After adjusting the latent covariates, increased hypoperfusion intensity ratio (per 0.1, adjusted OR [aOR] 1.68, 95% CI 1.26–2.25), ASPECTS (aOR 0.44, 95% CI 0.27–0.72), onset-to-puncture (aOR 1.01, 95% CI 1.00–1.02), and cardioembolism (aOR 5.6, 95% CI 1.59–19.7) were associated with hemorrhagic transformation in multivariable regression. The receiver operating characteristic curve indicated that hypoperfusion intensity ratio can predict hemorrhagic transformation accurately (area under the curve = 0.81; 95% CI, 0.738–0.882; P < .001) and predict parenchymal hematoma (area under the curve = 0.801; 95% CI, 0.727–0.875; P < .001).
CONCLUSIONS: Upon admission, hypoperfusion intensity ratio, an imaging parameter, predicted hemorrhagic transformation after reperfusion therapy in this patient population.
ABBREVIATIONS:
- AIS
- acute ischemic stroke
- aOR
- adjusted odds ratio
- EVT
- endovascular thrombectomy
- HI
- hemorrhagic infarction
- HIR
- hypoperfusion intensity ratio
- HT
- hemorrhagic transformation
- LVO
- large vessel occlusion
- OTP
- onset-to-puncture
- PH
- parenchymal hematoma
- ROC
- receiver operating characteristic
- Tmax
- time-to-maximum
SUMMARY
PREVIOUS LITERATURE:
NO.
KEY FINDINGS:
Our study demonstrates that the hypoperfusion intensity ratio at admission may be an early imaging parameter for the early detection of hemorrhagic transformation after reperfusion therapy.
KNOWLEDGE ADVANCEMENT:
NO.
Hemorrhagic transformation (HT) occurs in approximately 49.3% of patients with successful recanalization.1 HT contributes to various adverse outcomes, often extending hospitalization durations and necessitating more intensive medical interventions.2 The indicators of HT remain unclear,3 making it difficult for clinicians to intervene early in its development. Early intervention could improve the prognosis of patients with acute ischemic stroke and large vessel occlusion.
The hypoperfusion intensity ratio (HIR) is calculated by using CT perfusion imaging and reflects blood flow function in cerebral collateral imaging.4 It predicts infarct growth, eventual infarct volume, edema, and response to reperfusion therapy.4⇓-6 Previous findings suggest that elevated HIR levels correlate with a decrease in perfused tissue and serves as an independent predictor of parenchymal hematoma (PH) in patients with large vessel occlusion (LVO).7 PH is associated with adverse outcomes including high mortality and disability rates. Nevertheless, HIR did not exhibit a significant association with HT in patients with medium vessel occlusions who achieved successful recanalization.8 Precise risk stratification of HT before treatment may help improve outcomes by indicating patients who are likely to benefit from enhanced neurocritical care management following endovascular thrombectomy (EVT). Therefore, this study aimed to assess whether HIR levels at admission were associated with the development of HT after EVT and to explore whether it could be used as an imaging marker.9
MATERIALS AND METHODS
Study Population
The study protocol complied with local regulations and was approved by the relevant committee. The requirement for informed consent was waived.
We retrospectively reviewed consecutive patients with acute ischemic stroke-large vessel occlusion who had undergone emergency EVT at our institution between January 2020 and December 2022. Each patient with suspected acute ischemic stroke (AIS) routinely underwent routine multimodal CT-based imaging (combining traditional cranial CT, CTP, and CTA) in the emergency department, performed according to the American Heart Association guidelines within the 6-hour window after symptom onset.
The inclusion criteria were as follows: 1) CT scans of perfusion within 6 hours after onset; 2) diagnosis of acute anterior circulation stroke; 3) dynamically followed cranial CT scan obtained within 24 hours after EVT; 4) prestroke mRS score of <2 points. The exclusion criteria were as follows: 1) noncontrast CT scan obtained at admission showing bleeding; 2) posterior circulation stroke; 3) final modified TICI ≤2a10; 4) missing 90-day mRS score10; 5) incomplete clinical data. We obtained all clinical data from electronic medical records maintained by our hospital. The variables of interest included demographic characteristics, vascular risk factors, mRS scores before onset, NIHSS scores at admission and 24 hours after onset, laboratory test results, surgical records, and classification of acute cerebral infarction subtypes according to the Trial of Org 10172 in Acute Stroke Treatment criteria. Successful vessel recanalization was defined as expanded Thrombolysis in Cerebral Infarction grade ≥2b on angiographic images. The mRS scores at 3 months were obtained via telephone surveys conducted by experienced physicians affiliated with the emergency department.
Radiologic Measurements
All imaging examination findings were retrospectively evaluated by 2 experienced neuroradiologists who were blinded to the patients’ clinical information. The following imaging characteristics were requested from each site: 1) Manual ASPECTS scoring on NCCT to quantify the severity of early ischemic changes.11 2) Lesion volume CT perfusion images, which were semiautomatically segmented by using automated software (RAPID, iSchemaView). The infarct core volume was defined as the volume of tissue with cerebral blood flow of <30% relative to the contralateral hemisphere on CTP (relative CBF <30%). 3) Following the definition previously described by Olivot et al,6 HIR was calculated as the proportion of the time-to-maximum (Tmax) >6 seconds volume with Tmax >10 seconds on the Tmax maps. A favorable HIR was defined as <0.4, and an unfavorable HIR was defined as ≥0.4, based on previously published thresholds for this multicenter stroke cohort.5,12⇓-14
Outcome Measures
The primary outcome was HT, based on postoperative dynamic follow-up imaging examinations, within 24 hours. HT was identified according to the European Cooperative Acute Stroke Study II classification.15 Hemorrhagic infarction 1 was defined as small petechial hemorrhages along the infarct margins; hemorrhagic infarction 2 was defined as confluent petechial hemorrhages within the infarcted area without any space-occupying effect; parenchymal hematoma 1 was defined as blood clots in 30% of the infarcted area with substantial space-occupying effect. The secondary outcome was an mRS score of ≥3 at 90 days.
Statistical Analysis
SPSS (version 26.0, IBM) was used for all statistical analyses. Count data are expressed as n (%), and the χ2 test was used for comparisons. Continuous variables were tested for normal distribution and are reported as (χ ± s) and median (first quartile, third quartile). The Mann-Whitney U test was performed for between-group comparisons. To exclude the effects of possible confounders, we used a stepwise backward logistic regression model to identify predictors of HT from the variables with a univariate probability value of <0.1. We investigated the effect of different subgroups on HIR in predicting HT and PH by adding multiplicative interaction terms to a multivariate logistic regression model. Receiver operating characteristic (ROC) curve analyses were performed to identify the effectiveness of significant variables for predicting HT and PH after successful endovascular therapy. Statistical significance was set at P < .05.
RESULTS
Patient Characteristics
We enrolled 221 patients with anterior circulation stroke who had undergone emergency EVT. Of these, 53 were excluded. Finally, 168 patients (mean age, 69 ± 11.4 years; men, 61.3%) were included (Fig 1). A total of 35 patients were diagnosed with HT, with hemorrhagic infarction (HI)-1 occurring in 3 patients (1.8%). HI-2 occurred in 11 (6.5%), PH-1 in 9 (5.4%), and PH-2 occurred in 12 (7.1%).
Flow chart of patient selection.
No differences were found in the frequency of antiplatelet agent use, blood pressure values, or baseline blood glucose levels between the patients with and without HT. The NIHSS and HIR scores were higher in patients with HT than in patients without HT, and ASPECTS was higher in the patients without HT (both P < .001). Meanwhile, the HT group was more likely to have coronary heart disease (P = .005), cardioembolism (P < .001), and poor outcomes at 90 days (P = .006), including mortality (P = .026) (Online Supplemental Data) (Fig 2).
Neurologic outcome expressed as mRS score at 90 days.
Patients with PH were more likely to have coronary heart disease (P = .047), higher NIHSS scores (P = .014), and lower ASPECTS (P < .001); more often had cardioembolism (P = .036); and had a higher risk of a poor outcome at 90 days (P = .016), including death (P = .029) (Online Supplemental Data) (Fig 2).
Predictive Value of HIR
Logistic regression analysis was performed by using postoperative HT and PH as outcome variables. The results are summarized in Table. After adjusting for age, sex and comorbidity associated with HT (all P < .001). The odds of postoperative HT increased 4.6-fold with cardioembolism (adjusted OR [aOR] = 5.597, 95% CI: 1.59−19.7), 0.7-fold with HIR (aOR = 1.684, 95% CI: 1.261−2.25), and 0.01-fold with onset-to-puncture (OTP) time (aOR = 1.013, 95% CI: 1.003−1.024). Meanwhile, the risk of PH increased 7.624-fold with the presence of cardioembolism (aOR = 8.624, 95% CI: 1.119−66.468), 0.593-fold with HIR (aOR = 1.593, 95% CI: 1.149−2.208), and 0.016-fold with OTP (aOR = 1.016, 95% CI: 1.004−1.028).
Multivariable regression analysis for hemorrhagic transformation
When the outcome was dichotomized based on unfavorable tissue-level collaterals (HIR ≥ 0.4) according to different subgroups, an increased HIR was significantly associated with achieving functional independence after multivariable adjustment, and was not affected by stroke severity, age, or treatment regimen (Fig 3).
Subgroup analysis of hemorrhagic transformation according to age. IVT = intravenous thrombolysis.
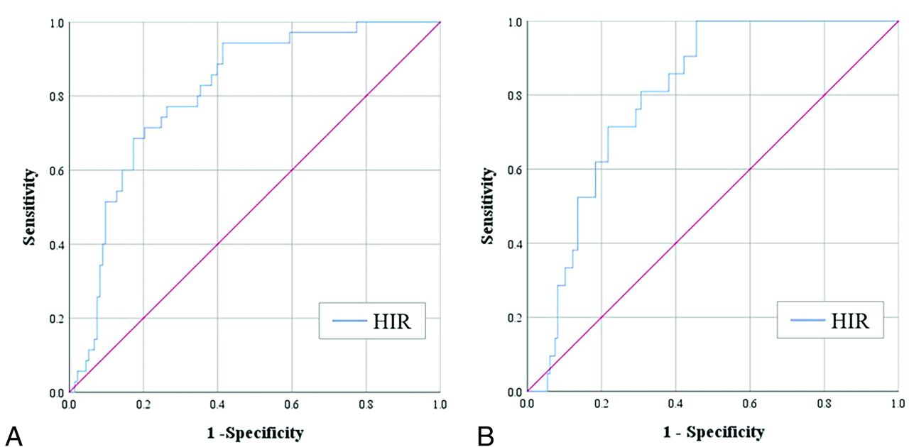
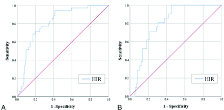
For HT, the ROC analyses showed that the optimal cutoff value of HIR was 0.27, and the sensitivity and specificity for predicting HT were 94.3% and 58.6%, respectively. Meanwhile, for PH, the ROC analyses showed that the optimal cutoff value of HIR was 0.39, and the sensitivity and specificity for predicting PH were 81% and 69.4%%, respectively (Fig 4).
ROC analysis predicting HT (A) and PH (B).
DISCUSSION
Our study revealed the following main findings. The prevalence of HT was approximately 20.8% in patients who had undergone acute reperfusion therapy. After adjusting for confounders, higher HIR, ASPECTS, OTP, and cardiogenic status were the variables independently associated with HT. A higher HIR is associated with the occurrence of HT and PH after successful recanalization within 24 hours.
Previously, Koneru et al8 determined that HIR showed no significant association with HT in patients with medium vessel occlusions who achieved successful recanalization within 24 hours of symptom onset. Pretreatment HIR has been extensively studied in patients with AIS-LVO. It has been significantly associated with collateral status,16 venous outflow,12 infarct progression,6 cerebral edema formation,13 parenchymal hematoma, and EVT eligibility.4,7 Moreover, HIR is derived from automatically processed perfusion maps, offering objective insights into brain tissue perfusion within the acute ischemic lesion, thus emerging as an independent predictor of the clinical outcomes after EVT.17
Prior analysis has demonstrated HIR is a reliable and robust measure of collateral flow.18 As a dynamic set of vessels, the collateral circulation network is the primary determinant of ischemic core growth. It affects the effectiveness of treatment and is closely related to the prognosis of patients with sizable vascular occlusion.19⇓-21 Although the exact pathophysiology of HT of adverse collateral blood flow in patients with stroke is unknown, there are several potential explanations for the observed association. First, the reduction in the number and diameter of collaterals is secondary to vascular endothelial dysfunction and cerebrovascular risk factors and may reflect neoangiogenesis and dysfunction of the cerebrovascular system and vascular basal layer.19,22,23 Because of poor collateral and inefficient vascular construction, cell aggregates, activated platelets, and fibrin accumulate in the microvascular bed.23 Activated immune cells can produce a variety of toxic mediators, including matrix metalloproteinases.24,25 Second, cerebral blood flow cannot improve overall blood flow and oxygen metabolism in the ischemic core and semi-dark band through collateral circulation, which may cause an ischemic cascade that leads to the growth of a large number of infarcts, accelerating the ischemic process.19,26,27 During reperfusion- and excitotoxicity-related brain tissue injury, activated inflammatory cells release various toxic mediators, including matrix metalloproteinases, free radicals, and neurotransmitters, which cannot be effectively excreted due to poor collateral circulation.28⇓-30 This mechanism exacerbates the blood–brain barrier and reperfusion injuries, causing increased permeability of the brain parenchyma and extravasation of blood, leading to malignant infarction and a high risk of HT of ischemic tissue and fatal consequences.31
Our findings are consistent with a large body of literature demonstrating that OTP and ASPECTS are independently associated with HT.32,33 We found that patients with cardiogenic stroke and poor collateral circulation were more likely to undergo HT.34,35 Most patients with cardiogenic cerebral infarction have atrial fibrillation, valvular disease, and myocardial lesions, resulting in a further decrease in cardiac output, cerebral hypoperfusion, damage to vascular integrity, and increased risk of HT.36,37 In contrast, patients with cardiogenic stroke have higher levels of matrix metalloproteinases-2 and -9, which are strongly associated with blood–brain barrier disruption and neurovascular basal layer degradation, causing cerebral infarction extension, cerebral edema, and stroke HT.38
In our study, we found that HT onset had a significant effect on functional outcomes on day 90 after stroke, which is consistent with previous studies. The presence of negative outcomes highlights the need for a reliable assessment of HT predictors early in the daily clinical workflow.2
Our study had some limitations. First, this study used strict inclusion criteria, which may have introduced selection bias, reducing generalizability. Therefore, large studies are required to validate these findings. Second, HIR evaluation may be influenced by imaging technology used at different hospitals and automated CTP software based on various algorithms. Although we tested for multicollinearity between HIR and other independent variables, we can not completely exclude its potential impact on the results of the regression model.
CONCLUSIONS
Herein, HT onset had a significant effect on functional outcomes on day 90, which is consistent with the results of previous studies. These negative effects on functional outcomes highlight the potential benefits of assessing PH predictors early in the daily clinical workflow.
Acknowledgments
To all the staff of the Department of Radiology for their technical guidance and contribution to this study and manuscript.
Footnotes
Disclosure forms provided by the authors are available with the full text and PDF of this article at www.ajnr.org.
References
- Received December 27, 2023.
- Accepted after revision April 29, 2024.
- © 2024 by American Journal of Neuroradiology