Abstract
BACKGROUND AND PURPOSE: Successful vessel recanalization in posterior circulation large-vessel occlusion is considered crucial, though the evidence of clinical usefulness, compared with the anterior circulation, is not still determined. The aim of this study was to evaluate predictors of favorable clinical outcome and to analyze the effect of first-pass thrombectomy.
MATERIALS AND METHODS: A retrospective, multicenter, observational study was conducted in 10 high-volume stroke centers in Europe, including the period from January 2016 to July 2019. Only patients with an acute basilar artery occlusion or a single, dominant vertebral artery occlusion (“functional” basilar artery occlusion) who had a 3-month mRS were included. Clinical, procedural, and radiologic data were evaluated, and the association between these parameters and both the functional outcome and the first-pass effect was assessed.
RESULTS: A total of 191 patients were included. A lower baseline NIHSS score (adjusted OR, 0.77; 95% CI, 0.61–0.96; P = .025) and higher baseline MR imaging posterior circulation ASPECTS (adjusted OR, 3.01; 95% CI, 1.03–8.76; P = .043) were predictors of better outcomes. The use of large-bore catheters (adjusted OR, 2.25; 95% CI, 1.08–4.67; P = .030) was a positive predictor of successful reperfusion at first-pass, while the use of a combined technique was a negative predictor (adjusted OR, 0.26; 95% CI, 0.09–0.76; P = .014).
CONCLUSIONS: The analysis of our retrospective series demonstrates that a lower baseline NIHSS score and a higher MR imaging posterior circulation ASPECTS were predictors of good clinical outcome. The use of large-bore catheters was a positive predictor of first-pass modified TICI 2b/3; the use of a combined technique was a negative predictor.
ABBREVIATIONS:
- BAO
- basilar artery occlusion
- F-P mTICI
- first-pass effect mTICI
- IQR
- interquartile range
- mTICI
- modified TICI
- pc-ASPECTS
- posterior circulation ASPECTS
- pc-LVO
- large-vessel occlusion of the posterior circulation
Posterior circulation stroke accounts for about 20% of all ischemic stroke cases.1,2 The etiology is variable (thromboembolic, atherosclerosis, arterial dissection, perforating vessels disease, and so forth), affecting different vascular territories; rarely, this type of stroke is due to a large-vessel occlusion of the posterior circulation (pc-LVO), representing about 1% of all acute ischemic strokes,3,4 Acute pc-LVO carries a high risk of disabling stroke or death. In this context, designing a randomized controlled trial is challenging, and even appropriate patient selection is problematic. Successful vessel recanalization is considered crucial for survival or for improving functional outcome,5,6 though the evidence of the clinical usefulness of endovascular treatment in pc-LVO compared with anterior circulation LVO is still not determined due to a lack of randomized controlled trial data.
In this setting, a recent study supports the safety and efficacy of endovascular treatment for patients with acute ischemic stroke caused by basilar artery occlusion (BAO) who could be treated within 24 hours of the estimated occlusion time.7
The aims of our study included the evaluation of the effectiveness of the endovascular treatment for acute BAO or single, dominant vertebral artery occlusion (“functional” BAO), the analysis of predicting factors of favorable outcome, and of first-pass effect.
MATERIALS AND METHODS
Patients and Study Design
This retrospective, multicenter, observational study was conducted in 10 European high-volume stroke centers (≥100 thrombectomies performed annually). We included all consecutive patients with acute pc-LVO who underwent a mechanical thrombectomy between January 2016 and July 2019. Only patients with an acute BAO or a single, dominant vertebral artery occlusion (functional BAO) were included. We excluded all patients with incomplete follow-up data (Fig 1). Clinical and radiologic data were retrospectively collected and stored in a specific data base at each center. We collected and reviewed the following data: age, sex, baseline NIHSS score, arterial occlusion site, administration of intravenous thrombolysis, onset-to-groin time, procedural duration, time from onset to reperfusion, first-line thrombectomy technique, procedure-related complications, postprocedural complications, reperfusion grade (assessed using the modified TICI [mTICI] scale8), and the 90-day mRS score. The presumed etiology of the stroke has been classified on the angiographic assessment,9 according to the literature.
Enrollment flow chart. PCA indicates posterior cerebral artery.
Ethics approval was obtained from the institutional review board of each center. Informed consent for participation in the study was obtained only in patients who were neurologically able to give it; for all the other patients, the informed consent was obtained from a legal representative. All patients underwent baseline imaging (CT and/or MR imaging) according to the acute stroke imaging protocol at each center. According to guidelines,10 before thrombectomy, intravenous recombinant tissue plasminogen activator was administered to eligible patients who could be treated within 4.5 hours of symptom onset.
Differences in technical performances among the centers involved were analyzed by comparing the percentages of successful reperfusion (mTICI 2b/3).
Endovascular Treatment.
All procedures were performed with the patient under general anesthesia or conscious sedation after evaluation by a dedicated anesthesiology team. The thrombectomy devices were chosen at the interventionalist's discretion, using a stent retriever, aspiration, or a combined technique approach in the first instance, with a possible switch toward another strategy in case of reperfusion failure (mTICI 0/2a).
Periprocedural complications were also recorded. Aspiration catheters with an inner lumen of >0.060 inches were considered large-bore catheters.
Time Assessment
The symptom-to-groin time was defined as the interval between the estimated time of stroke onset (or the time last-seen-well) and the time of arterial puncture. Reperfusion time was defined as the interval between the time of arterial puncture and the final angiogram. The symptom-to-reperfusion time was the time from stroke onset to the final angiogram.
Outcome Assessment
The primary outcome was clinical independence, defined as an mRS score of 0–2 at the 90-day outpatient visit or telephone interview, assessed by stroke neurologists at each center. Reperfusion was assessed according to the mTICI scale;8 successful reperfusion was defined as an mTICI of 2b/3 and was considered as the efficacy outcome when comparing techniques. Image analysis was performed by neuroradiologists at each center.
The secondary outcome was the achievement of successful reperfusion (mTICI 2b/3) at first attempt (the so-called first-pass effect11,12).
Statistical Analysis
Demographics and clinical characteristics were compared between subjects with unfavorable (mRS score 3–6) and favorable (mRS score 0–2) outcomes at 90 days and between patients with or without first-pass successful reperfusion (F-P mTICI 2b/3). For continuous measures, mean [SD] and median and interquartile range (IQR) are presented, and P values were calculated with a 2-tailed t test for Gaussian continuous variables, and the Mann-Whitney U or Kruskal-Wallis test for non-Gaussian continuous variables. Normality distribution was tested with the Shapiro-Wilk test. For categoric measures, frequencies and percentages are presented, and P values were calculated with a χ2 or 2-tailed Fisher exact tests as appropriate. Multivariate analysis was performed using a logistic regression model with 90-day favorable outcome and F-P mTICI 2b/3 as dependent variables separately; except for age and sex as confounding factors, only variables with P < .05 at univariate analysis were included into the multivariate models. An interaction term between center and technique used was included in both multivariable models to control for the possible effect modification by the center.13 All variables (with the exception of confounding factors) included in the multivariate model with a variable-inflating factor of >2.5 were excluded from the analysis due to multicollinearity issues. To improve the interpretability of the results, we used the marginal effects of our independent variables. The efficacy of different techniques was assessed using the multivariate logistic regression model adjusted for prespecified confounding factors (age, sex, occlusion site, and onset-to-groin time); the technique that yielded the worst results was used as reference category. A subgroup analysis on patients with presumed atherosclerotic etiology was performed with 90-day favorable outcome as a dependent variable.
Receiver operating characteristic curve analysis was performed to determine the discriminative power (area under the curve) of 3 models derived from the multivariate logistic regression analysis for 90-day good outcome (mRS 0–2), considering only clinical variables (age, sex, NIHSS), considering only technical variables (thrombectomy techniques, mTICI, F-P mTICI, large-bore catheters, groin-to-reperfusion time), or considering the whole model.
Statistical analysis has been performed with STATA 15.1 (StataCorp).
RESULTS
The mean age was 68.3 [SD, 13.9] years, and 61 patients (31.9%) were women. The baseline characteristics and main results are summarized in Table 1. The mean number of passages in contact aspiration procedures was 1.43 [SD, 0.79]; in the stent retriever procedures, it was 1.78 [SD, 1.04]; and in combined-technique procedures, it was 2.95 [SD, 1.65]. Favorable outcome (90-day mRS 0--2) was obtained in 73/191 patients (38.2%), whereas an ability to walk unassisted by another person (90-days mRS 0--3) was achieved in 88 patients (46%). The rate of successful reperfusion achieved was 86.3%, respectively, 97.2% in the mRS 0–2 group and 80.5% in the mRS 3–6 group. The distribution of 90-day mRS according to mTICI is summarized in Fig 2. Types of complications are summarized in the Online Supplemental Data.
Ninety-day mRS according to mTICI. The dashed line indicates mRS 0–2; the dotted line, mRS 0–3 mRS; the continuous line, mRS 0–5 and mortality.
Baseline, clinical, and technical characteristics
Univariate analysis showed an association between presumed stroke etiology and outcome (P < .001), with a worse outcome for atherosclerotic occlusions (22.3% versus 38.2%; P = .001); atherosclerotic occlusions had worse results in technical outcome considering both mTICI and F-P mTICI and a higher mortality rate compared with the overall population (38.8% versus 29.3%).
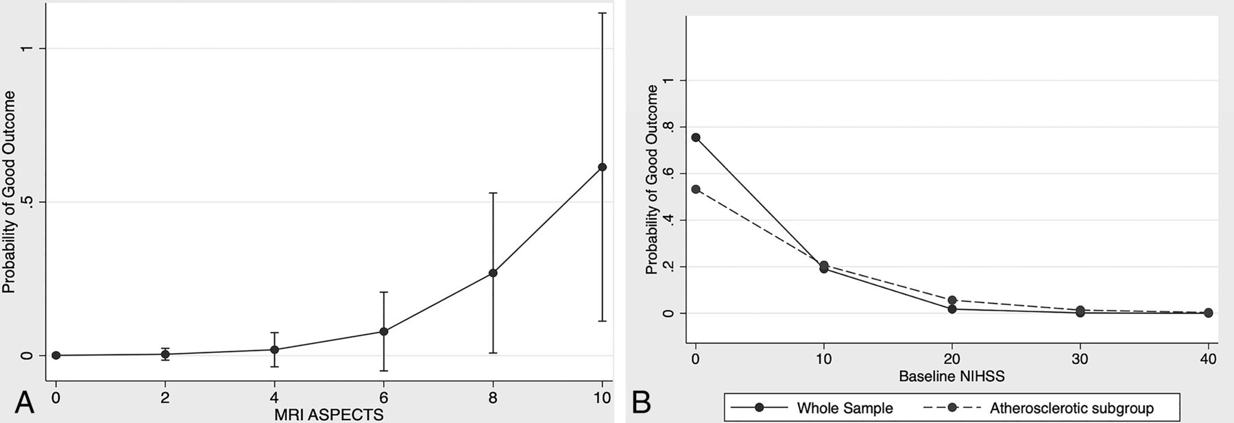
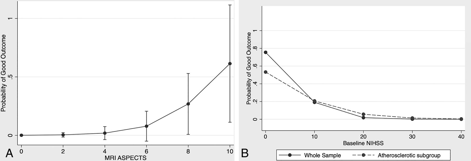
Table 2 summarizes the results of multivariate logistic regression analysis for predicting good outcome. The model included age, sex, baseline NIHSS, MR imaging pc-ASPECTS, aspiration technique, combined technique, large-bore catheters, reperfusion status (mTICI 2b/3, mTICI 3, F-P mTICI 2b/3, and F-P mTICI 3), reperfusion time, intravenous thrombolysis, and presumed stroke etiology. mTICI 3 and F-P mTICI 3 were excluded from the analysis due to multicollinearity issues. Of the other variables included, statistically significant predictors of better outcomes were lower baseline NIHSS (adjusted OR, 0.77; 95% CI, 0.61–0.96; P = .025) and higher baseline MR imaging pc-ASPECTS (adjusted OR, 3.01; 95% CI, 1.03–8.76; P = .043) (Fig 3).
A, Probability of good outcome according to MR imaging pc-ASPECTS. B, Probability of good outcome according to the baseline NIHSS score comparing the whole sample and the atherosclerotic subgroup.
Multivariate logistic regression analysis for 90-day good outcome
Results of univariate and multivariate logistic regression analysis for predictors of first-pass successful re-perfusion (mTICI 2b/3) are reported in Table 3 and Table 4. This model included age, sex, presumed stroke etiology, aspiration technique, combined technique, and large-bore catheters. The use of large-bore catheters (adjusted OR, 2.25; 95% CI, 1.08–4.67; P = .030) and female sex (adjusted OR, 2.05; 95% CI, 1.02–4.11; P = .041) were positive predictors of successful reperfusion at first-pass; the use of a combined technique was a negative predictor of successful reperfusion at first-pass (adjusted OR, 0.26; 95% CI, 0.09-0.76; P = .014).
Univariate analysis for predictors of first-pass effect
Multivariate logistic regression analysis for predictors of first-pass effect
Results of subgroup analysis for the atherosclerotic etiology for predicting good outcome are shown in the Online Supplemental Data. In this subgroup, a lower baseline NIHSS score was associated with better outcome (adjusted OR, 0.86; 95% CI, 0.75–0.98; P = .027). In this subgroup, percutaneous transluminal angioplasty of the stenosis was performed in 3 patients; stent placement of the stenosis, in 5 patients; and percutaneous transluminal angioplasty plus stent placement, in 1 patient. Multivariate analysis (adjusted for prespecified confounding factors) comparing the 3 techniques (Table 5) showed no differences, considering neither a successful nor a complete reperfusion, whereas contact aspiration showed better results in both F-P mTICI 2b/3 (adjusted OR, 6.67; 95% CI, 2.65–15.30; P < .001) and F-P mTICI3 (adjusted OR, 5.88; 95% CI, 2.38–14.49; P < .001).
Multivariate logistic analysis of successful reperfusion among aspiration, stent retriever, and other techniques (combined technique was used as a reference category)
The analysis of the area under the curve–receiver operating characteristic curves showed that by combining only the 2 classes of variables, we obtained the maximum area under the curve and the accuracy of the model reached its best value (Fig 4).
Receiver operating curve (ROC) analysis of different predictive models. The technical model area includes the following: thrombectomy techniques, mTICI, F-P mTICI, large-bore catheters, and groin-to-reperfusion time. The clinical model area includes age, sex, and NIHSS score.
No differences were found in the rates of successful reperfusion among the centers involved in this study (P = .925).
DISCUSSION
A favorable clinical outcome (mRS 0–2) was observed in 38.2%; when we considered patients with 90-day 0–3 mRS, which can be considered an acceptable result if compared with the natural history of this disease, the percentage increased to 46%. These data are higher than those reported by Bouslama et al14 and by the BASILAR study investigators;7 this result could be due to a lower mean NIHSS score in our cohort.
Our analysis showed that the baseline NIHSS score (OR, 0.77; P = .025) and the pc-ASPECTS on MR imaging (OR, 3.01; P = .043) are predictors of 90-day good clinical outcome, as previously reported by several studies.14⇓⇓⇓-18 The correlation between a lower baseline NIHSS score and the probability of good outcome was first demonstrated by the ENDOSTROKE study group for endovascular therapy,17 whose results are similar to those we observed and in line with previous studies about thrombolytic treatment in basilar occlusions.19
The probability of good outcome rapidly decreases at each MR imaging pc-ASPECTS point drop; with an MR imaging pc-ASPECTS of <6, the adjusted probability of good outcome is <10%. Most patients underwent CT and CTA; CTP was performed in only 9.4% of patients, probably because of its limited efficacy in posterior fossa evaluation, whereas MR imaging was used 41.8%, because of the lack of availability in the emergency setting in some of the involved centers. A recent study by Guillaume et al20 had additionally demonstrated that although a rapid recanalization of BAO in patients with pretreatment DWI pc-ASPECTS of <8 was associated with good clinical outcome, a dramatic decrease in good outcome probability was observed with the increase of time to reperfusion, and those patients could be considered “fast progressors.” A further consideration is that CT pc-ASPECTS cannot accurately differentiate patients with ischemia in life-threatening brain regions, such as the pons, mesencephalon, and diencephalon.9 We concur that MR imaging becomes essential in those cases in which the potential benefit of endovascular thrombectomy is not clear.
When we adjusted for confounding factors, age was not associated with good clinical outcome, unlike what was reported by Gramegna et al,9 who noted an association between younger age and a favorable clinical outcome. This difference is not justified by either the mean age of the 2 subgroups, which was similar (68.3 and 70.9 years) or by the percentage of favorable clinical outcome (38.2% and 36.2%, respectively); this difference could be due to the smaller population of their study compared with ours.
Obtaining a successful reperfusion (mTICI 2b/3) is the main goal for neurointerventionalists; the percentage of successful reperfusion that we achieved was 86.3%, in line with other series.14 The successful reperfusion (mTICI 2b/3) correlated significantly with the outcome in univariate analysis (P < .001), but not in multivariate analysis (P = .495). Probably, TICI 2b reperfusion is simply not good enough, and the goal of reperfusion should be TICI 2c/3. Moreover, among patients in whom a successful reperfusion was obtained and who underwent MR imaging, 69.70% of them had a pc-ASPECTS of <8; consequently, the probability of good outcome was low (Online Supplemental Data).
F-P mTICI 2b/3 and the use of large-bore catheters were both associated with good clinical outcome in the univariate analysis (respectively, P < .001 and P = .04), but none of these technical results were confirmed in the multivariate analysis. This discrepancy between univariate and multivariate analysis could be attributed to the small sample size when we consider specific technical subgroups.
Reperfusion time (in minutes) was significantly lower in the good-outcome group (40.5 versus 60; P = .021). However, the impact of reperfusion time on good clinical outcome at 90 days was not consistent in multivariate analysis, unlike in other studies.20,21 This finding could be explained because faster procedures are more frequently associated with thromboembolic occlusions (P < .001; Online Supplemental Data), which are more likely to be related to a better outcome.
The multivariate analysis for successful reperfusion at first-pass showed that the use of large-bore catheters (OR, 2.25; P = .030) and female sex (OR, 2.05; P = .041) are positive predictors of successful reperfusion at first-pass, while the use of a combined technique (OR, 0.26; P = .014) is a negative predictor of successful reperfusion at first-pass. The better technical outcome reached in the female sex could be explained by slightly less prevalence of atherosclerotic occlusions in this group (27.9% versus 38.9%). The combined technique had worse results, and this cannot be explained by either the need for the change of strategy or the number of revascularization attempts. Even if predictors of first-pass effects have already been studied by other authors for anterior circulation occlusion,22,23 this is the first time that this concept has been applied to posterior circulation stroke.
When we compared the 3 techniques (adjusting for prespecified confounding factors), no difference was found in obtaining either an mTICI 2b/3 or an mTICI 3, especially if there were no differences in better functional outcomes and complication rates. However, aspiration had better results in F-P mTICI 2b/3 (OR, 5.82; P < .001) and F-P mTICI3 (OR, 5.27; P < .001). These results could be partially explained by the most frequent use of the A Direct Aspiration First Pass Technique in most of the centers involved in the study.
Common guidelines containing specific recommendations with strong levels of evidence for treating posterior circulation stroke are lacking because randomized controlled trial results are missing. The Acute Basilar Artery Occlusion: Endovascular Interventions versus Standard Medical Treatment (BEST)24 trial was terminated prematurely due to a high crossover rate and negative results in the intention-to-treat analysis. The Basilar Artery International Cooperation Study (BASICS)25 recently showed that endovascular therapy administered <6 hours from stroke onset in conjunction with best medical management did not substantially improve functional outcome at 90 days (mRS 0–3) compared with best medical management alone.26 In this trial, 44.2% of the participants randomly assigned to receive endovascular therapy together with best medical management experienced a favorable functional outcome, compared with 37.7% of the control group. This result was mainly due to a better-than-expected outcome in the control group. Endovascular therapy tended to be more effective in patients older than 70 years than in younger patients, and most interesting, there was a significant difference in outcome favoring endovascular therapy in patients with worse clinical presentation (NIHSS ≥10), while there was a trend toward a better outcome after thrombolysis in patients with minor deficits, or NIHSS <10. Favorable results (mRS 0–2) were 35.1%, while in our cohort, they were 38.2%; mRS 0–3 was 44.2% in their endovascular group, while in our cohort, it was 46%. Compared with our study, mortality was higher (43.2% versus 29.3%).
Another trial is currently running, the Basilar Artery Occlusion: Chinese Endovascular Trial (BAOCHE; CinicalTrials.gov identifier: NCT02737189). This trial investigates the benefit of standard medical treatment associated with endovascular treatment in acute BAO versus standard medical treatment alone, but it is facing the challenge of achieving the inclusion target because a growing number of stroke centers are unwilling to randomize patients to standard medical treatment alone after the many positive results of trials for endovascular therapy in patients with anterior circulation stroke.
Using a propensity score-matching analysis, a recent nonrandomized cohort study7 demonstrated that endovascular therapy administered within 24 hours of the estimated occlusion time is associated with better functional outcomes and reduced mortality. These findings suggest that endovascular thrombectomy might be considered the standard of care for eligible patients with acute BAO, despite the lack of a published randomized controlled trial.
Limitations
This study has several limitations: first, its retrospective and observational design and the consequent use of post hoc hypotheses. Then, mTICI and ASPECTS were assessed by the attending stroke specialist and interventional neuroradiologist without a central core lab; so, bias cannot be excluded. Stroke imaging protocols could differ among the centers involved in the study.
CONCLUSIONS
The analysis of our retrospective series showed that a lower baseline NIHSS score and a higher MR imaging pc-ASPECTS were predictors of good clinical outcome for acute BAO treated with endovascular thrombectomy. A lower baseline NIHSS score was also a predictor of good clinical outcome in the atherosclerotic subgroup. The use of large-bore catheters was a positive predictor of F-P mTICI 2b/3, while the use of a combined technique was a negative predictor of F-P mTICI 2b/3. The aspiration technique achieved better results in F-P mTICI 2b/3 and F-P mTICI 3 compared with other thrombectomy techniques.
Footnotes
This work is part of a nonprofit study protocol approved by Fondazione Policlinico Universitario A. Gemelli (Istituto di Ricovero e Cura a Carattere Scientifico, Roma) institutional ethics committee: protocol number 6410/20, ID 3004.
Disclosures: Nicola Limbucci—UNRELATED: Consultancy: Cerenovus, Medtronic, Stryker.
References
- Received August 12, 2020.
- Accepted after revision November 19, 2020.
- © 2021 by American Journal of Neuroradiology